Бизнес план шиномонтажа образец пример с расчетами

Бизнес план шиномонтажа образец пример с расчетами Ksenia Istomina
Бизнес план шиномонтажа образец пример с расчетами
Бизнес план шиномонтажа образец пример с расчетами Бизнес-план СТО грузовых автомобилей (с финансовой моделью) Intesco Research Gro
Ksenia Istomina
Бизнес план шиномонтажа образец пример с расчетами Как открыть шиномонтаж. С нуля, бизнес-план Клим Максим - купить с доставкой по
Бизнес-план СТО грузовых автомобилей (с финансовой моделью) Intesco Research Gro
Бизнес план шиномонтажа образец пример с расчетами Пример бизнес-плана шиномонтажной мастерской с расчетами
Как открыть шиномонтаж. С нуля, бизнес-план Клим Максим - купить с доставкой по
Бизнес план шиномонтажа образец пример с расчетами Бизнес-план. Автомойка
Пример бизнес-плана шиномонтажной мастерской с расчетами
Бизнес план шиномонтажа образец пример с расчетами Вспомогательный план непроизводственных затрат
Бизнес-план. Автомойка
Бизнес план шиномонтажа образец пример с расчетами Как открыть шиномонтаж. Бизнес план шиномонтажа
Вспомогательный план непроизводственных затрат
Бизнес план шиномонтажа образец пример с расчетами Бизнес план гостиницы (хостела) с расчетами в Excel
Как открыть шиномонтаж. Бизнес план шиномонтажа
Бизнес план шиномонтажа образец пример с расчетами Рынок грузовых шин в России - маркетинговое исследование
Бизнес план гостиницы (хостела) с расчетами в Excel
Бизнес план шиномонтажа образец пример с расчетами Шиномонтаж 4-х колес на ул. Маяковского со скидкой 50% от Slivki.by
Рынок грузовых шин в России - маркетинговое исследование
Бизнес план шиномонтажа образец пример с расчетами Чертёж шиномонтажного участка и рабочего места шиномонтажника
Шиномонтаж 4-х колес на ул. Маяковского со скидкой 50% от Slivki.by
Бизнес план шиномонтажа образец пример с расчетами Шиномонтаж 4 колеса презентация, доклад
Чертёж шиномонтажного участка и рабочего места шиномонтажника
Бизнес план шиномонтажа образец пример с расчетами Бизнес план мойки самообслуживания на 4 поста с расчетами - Basanova.ru
Шиномонтаж 4 колеса презентация, доклад
Бизнес план шиномонтажа образец пример с расчетами Бизнес-Портал - Маркетинговые исследования - Бизнес-план шиномонтажа - 2013 (с ф
Бизнес план мойки самообслуживания на 4 поста с расчетами - Basanova.ru
Бизнес план шиномонтажа образец пример с расчетами Готовый пример бизнес-плана груминг-салона с расчетами
Бизнес-Портал - Маркетинговые исследования - Бизнес-план шиномонтажа - 2013 (с ф
Бизнес план шиномонтажа образец пример с расчетами Фото БИЗНЕС ПЛАН ШИНОМОНТАЖА С РАСЧЕТАМИ
Готовый пример бизнес-плана груминг-салона с расчетами
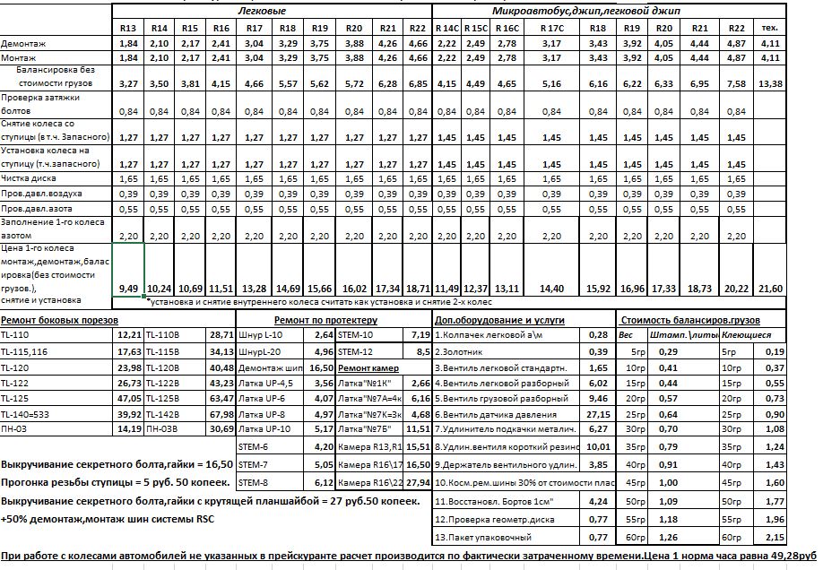
Бизнес план шиномонтажа образец пример с расчетами Бизнес план шиномонтажа образец пример с расчетами
Фото БИЗНЕС ПЛАН ШИНОМОНТАЖА С РАСЧЕТАМИ
Бизнес план шиномонтажа образец пример с расчетами Бизнес план клининговой компании пример с расчетами - Basanova.ru
Бизнес план шиномонтажа образец пример с расчетами
Бизнес план шиномонтажа образец пример с расчетами Бизнес план шиномонтажа образец пример с расчетами
Бизнес план клининговой компании пример с расчетами - Basanova.ru
Бизнес план шиномонтажа образец пример с расчетами Бизнес-план автосервиса с примерами
Бизнес план шиномонтажа образец пример с расчетами
Бизнес план шиномонтажа образец пример с расчетами Бизнес план шиномонтаж
Бизнес-план автосервиса с примерами
Бизнес план шиномонтажа образец пример с расчетами Бизнес план шиномонтажа образец пример с расчетами
Бизнес план шиномонтаж
Бизнес план шиномонтажа образец пример с расчетами Презентация на тему бизнес план шиномонтажа
Бизнес план шиномонтажа образец пример с расчетами
Бизнес план шиномонтажа образец пример с расчетами Бизнес-план ШИНОМОНТАЖ
Презентация на тему бизнес план шиномонтажа
Бизнес план шиномонтажа образец пример с расчетами Шиномонтаж площадь
Бизнес-план ШИНОМОНТАЖ
Бизнес план шиномонтажа образец пример с расчетами Бизнес-план автосервиса с расчетами: Важные особенности составления План, Бизнес
Шиномонтаж площадь
Бизнес план шиномонтажа образец пример с расчетами Бизнес план шиномонтажа образец пример с расчетами
Бизнес-план автосервиса с расчетами: Важные особенности составления План, Бизнес
Бизнес план шиномонтажа образец пример с расчетами Бизнес план шиномонтаж
Бизнес план шиномонтажа образец пример с расчетами
Бизнес план шиномонтажа образец пример с расчетами Как рассчитать нормочас автоэлектрика - фото - АвтоМастер Инфо
Бизнес план шиномонтаж
Бизнес план шиномонтажа образец пример с расчетами Бизнес план шиномонтажа с расчетами
Как рассчитать нормочас автоэлектрика - фото - АвтоМастер Инфо